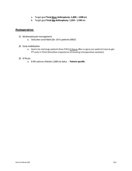
File:Bayview total joint replacement protocol.pdf
From WikiAnesthesia
Size of this JPG preview of this PDF file: 463 × 599 pixels. |
Original file (1,275 × 1,650 pixels, file size: 192 KB, MIME type: application/pdf, 3 pages)
Bayview total joint replacement with spinal protocol
File history
Click on a date/time to view the file as it appeared at that time.
| Date/Time | Thumbnail | Dimensions | User | Comment | |
|---|---|---|---|---|---|
| current | 07:34, 14 July 2023 | 1,275 × 1,650, 3 pages (192 KB) | Tony Wang (talk | contribs) |
You cannot overwrite this file.
File usage
The following page uses this file: